6.织物的几何结构相共分为多少种? - 优米体育入口官网下载app
欢迎光临~优米体育入口官网下载app
  咨询电话:0512-55230820

公司新闻

6.织物的几何结构相共分为多少种?

  答:结构阶序的划分,一般以经纬纱屈曲波形的两种极端状态作为变化的起点和终点,其问的变化过程以相等的间距划分为8个间隔。包含起、止点在内就存在九个间隔点。每一个间隔点处的经纬纱屈曲状态,即为一个结构相,共有九个结构相。
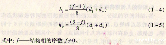
  由于任一波形状态的经纬纱屈曲波高之和恒等于一常数,即等于经纬纱直径之和,设此常数为L,则
  L=hj+hw=dj+dw
  从表1-1中可以看出,经纬纱的屈曲波高和结构相是紧密相关的。结构相越高,经纱的屈曲波高越大,而纬纱的屈曲波高越小。屈曲波高和结构相之问的关系可以定量地来表达如下:
AAAFSGRETEGSDFW


免责声明:

免责声明:本站发布的有些文章部分文字、图片、音频、视频来源于互联网,并不代表本网站观点,其版权归原作者所有。如果您发现本网转载信息侵害了您的权益,如有侵权,请联系我们,我们会尽快更改或删除。

联系我们

联系人:杨经理

手 机:13912652341

邮 箱:34331943@qq.com

公 司:优米体育入口官网下载app

地 址:江苏省昆山市新南中路567号双星叠座A2217

用手机扫描二维码关闭
二维码
Baidu
map